■ 들어가며
첫번째는
회전 하려는 점이 p 이고( p 또한 사원수이다 ) 회전에 대한 정보를 담고있는 사원수 q와 그의 역원이 q-1 이라 할때, 사원수를 통한 회전은 위의 식대로 진행이되는데 어떠한 원리에 의해서 저 방식이 나오게 된건지를 모르겠다는 것이고
두번째로는
( x 는 회전하려는 벡터, w 는 회전 축 벡터 )
저 사원수 곱이 결국에는 사원수 곱셈 방법에 따라 전개를 해보면 결국 바로위의 '오일러-로드리게스 회전 공식' 이란게 나오게되고, 그렇기에 저 사원수곱이 회전을 나타낸다고 하는데.. 문제는 그 이전에 이 오일러-로드리게스 회전 공식이 어떻게 도출된거지 모르겠다는 것이다.
하지만 그렇다고해서 사원수를 못쓰는건 아니고(단지 증명을 아냐 모르냐의 문제니까 ), 현재 난 이 사원수가 중요한게 아니라 딴 공부가 중요한상태라 일단은 사원수에 대해서는 여기까지만 하려고한다. 그러니 이글을 읽는 이가 있다면 저 두 질문에 대한 답을 이 글에서 찾지 말도록 미리 말한다. 이 글에서 다룰것은 간단하게 사원수란게 무엇이고 회전에 어떻게 쓰는가정도 일 뿐이니까.
■ 복소수의 곱과 회전에 대해
우선 사원수에 대해 설명하기 이전에, 복소수의 곱셈에 대해 좀 알필요가있다.
복소수란 고등학생때 다들 배웠다시피 저렇게 실수부( a ) 와 허수부( bi ) 가 같이있는 형태를 복소수라고한다. 그리고 복소수의 곱은
이렇게 중고등학생때 숱하게 한 다항식의 곱셈방법과 똑같다. 그래서 곱셈자체가 뭐 대단히 중요한건 아니고 중요한건 이 사원수간의 곱셈이 '복소평면'에서 회전을 나타낼수 있다는 점이다.
복소 평면이란 위와 같은 것이다. 실수부( a ) 와 허수부( b ) 를 데카르트 좌표계의 어떠한 점 ( x, y ) 처럼 나타낸 좌표계를 복소평면이라한다. 이러한 복소평면에서 예를 들어
이렇게 두 복소수 a, b가 있다고 해보자. a는 2루트2 의 길이를 가지며 45도의 각도를 가질것이고 b는 2의 길이와 90도의 각도를 가질것이다.( 특수각이다 ) 이상태에서 a 와 b를 곱하면
이런 결과가 나오게되는데 길이과 각도를보면, 길이의 경우는 a의 길이와 b의 길이의 곱과 같고(4루트2) 각도의 경우는 a의 각과 b의 각의 합과 같다는걸(135도) 확인할수가있다. 즉 a를 기준으로 봤을때 b의 길이만큼 스케일링 되고 b의 각도만큼 회전하게 된것이다. 그래서 회전하려는 점(혹은 벡터)를 v라고 하고 v를 θ 만큼 2차원상에서 회전시키려 할때
이런식으로 나타낼수가 있다.( 회전만 나타내야 되기 때문에 곱하는 s 의 길이를 1로 만들어주고(당연하지만 sqrt(cos^θ + sin^θ) 는 1 이다 ) θ 만큼의 각도를 준것이다.).그리고 이러한 형태가 사원수의 곱에서도 똑같이 쓰인다 ( 다만 사원수는 사실 4차원이고 우리는 3차원의 곱을 나타낼거기 때문에 qpq-1 란 약간의 꼼수와 복소수와는 달리 교환법칙이 성립하지 않는다는 점이 다를뿐이다 ). 그럼 이제 사원수에 대해 알아보도록하자.
■ 사원수의 대해
사원수는 위와 같은 형태의 수를 사원수라하며 허수 i, j, k는 아래와 같은

관계를 가지고있다.. 라고 하는게 사원수의 전부다만. 아마 '수'라는 개념에 익숙하지 않다면 이게 뭔 개소리인가 싶을것이다. 만약 우리가 익숙한 실수같은 것만 수라고 인식 하고있었다면 그생각을 버리도록 하자. 1, 2, 3.. 같은 정수나 1/3 같은 무리수처럼 사원수 또한 그냥 하나의 수이다.
여기서는 사원수의 곱셈에 대해서만 다룰것인데, 사실 곱셈도 복소수의 곱셈과는 다르지 않다만, 곱셈을 이해하기 위해서는 위의 i, j, k의 관계로부터

이런식으로 각각의 i, j, k의 값을 도출할수 있다는것을 알필요가있다. 그리고 여기서 더 나아가 j를 도출하는 과정에서 -k = ji 즉 k = -ji 라는것을 발견할수가 있는데,

비슷한 방식으로 i, j, k 들에 대해 값을 도출해보면 위와 같이 곱셈에 대해 교환법칙이 성립하지 않는것도 확인할수가있다.
■ 사원수의 곱셈
그럼 이제 사원수의 곱셈을 해보도록하자. 사원수의 곱셈또한 복소수의 곱과 같으므로

이런식으로 일단은 전개할수가있고, i, j, k의 관계에 따라 정리를 하면

*4번째줄 i는 오타다 j 가 맞다.
이런식으로 사원수로서 정리를할수가있다(즉 곱셈에 대해 닫혀있다)
■ 스칼라와 벡터

이런 사원수가 있을때, w를 스칼라, (xi, yj, zk) 를 벡터라고한다. 그래서 사원수를

이런식으로 나타내기도한다( v=(xi, yj, zk) )
■ 사원수 곱셈의 형태

이러한 두 사원수가 있다하면 그 결과는 위에서 봤다시피

이런식으로 나타낼수가있다. 또한 여기서 만약 q1, q2의 스칼라가 0이라면

이런식으로 나타내질수 있는것도 확인할수있다.
■ 사원수와 허수
일단 오해 하지 말아야할것이 사원수 자체가 허수는 아니다, 사원수는 실수와 허수부로 이루어진 복소수이다. 하지만 스칼라값이 0이고 길이가 1일때의 사원수는 허수로서의 조건을 충족한다. 예를 들어


관계를 가지고있다.. 라고 하는게 사원수의 전부다만. 아마 '수'라는 개념에 익숙하지 않다면 이게 뭔 개소리인가 싶을것이다. 만약 우리가 익숙한 실수같은 것만 수라고 인식 하고있었다면 그생각을 버리도록 하자. 1, 2, 3.. 같은 정수나 1/3 같은 무리수처럼 사원수 또한 그냥 하나의 수이다.
여기서는 사원수의 곱셈에 대해서만 다룰것인데, 사실 곱셈도 복소수의 곱셈과는 다르지 않다만, 곱셈을 이해하기 위해서는 위의 i, j, k의 관계로부터

이런식으로 각각의 i, j, k의 값을 도출할수 있다는것을 알필요가있다. 그리고 여기서 더 나아가 j를 도출하는 과정에서 -k = ji 즉 k = -ji 라는것을 발견할수가 있는데,

비슷한 방식으로 i, j, k 들에 대해 값을 도출해보면 위와 같이 곱셈에 대해 교환법칙이 성립하지 않는것도 확인할수가있다.
■ 사원수의 곱셈
그럼 이제 사원수의 곱셈을 해보도록하자. 사원수의 곱셈또한 복소수의 곱과 같으므로

이런식으로 일단은 전개할수가있고, i, j, k의 관계에 따라 정리를 하면

*4번째줄 i는 오타다 j 가 맞다.
이런식으로 사원수로서 정리를할수가있다(즉 곱셈에 대해 닫혀있다)
■ 스칼라와 벡터

이런 사원수가 있을때, w를 스칼라, (xi, yj, zk) 를 벡터라고한다. 그래서 사원수를

이런식으로 나타내기도한다( v=(xi, yj, zk) )
■ 사원수 곱셈의 형태

이러한 두 사원수가 있다하면 그 결과는 위에서 봤다시피

이런식으로 나타낼수가있다. 또한 여기서 만약 q1, q2의 스칼라가 0이라면

이런식으로 나타내질수 있는것도 확인할수있다.
■ 사원수와 허수
일단 오해 하지 말아야할것이 사원수 자체가 허수는 아니다, 사원수는 실수와 허수부로 이루어진 복소수이다. 하지만 스칼라값이 0이고 길이가 1일때의 사원수는 허수로서의 조건을 충족한다. 예를 들어

이 식을 봐보도록하자. 스칼라값이 0이기 때문의 r의 제곱은 위와같이 나올것이고, 자기 자신을 곱하는 형태이기 때문에 벡터부분의 외적의 값은 0이 될것이며, 동시에 길이가 1이기때문에 스칼라부분의 값은 값이 -1이 될것이다. 즉

r은 허수가 된다.
■ 사원수의 곱셈에 대한 항등원과 역원

사원수의 항등원 I는 위와 같다. I가 왜 항등원인지는 위의 곱셈의 형태를 보면 쉽게 유추할수있을 것이다.
사원수의 역원을 이해하기 위해서는 켤레 사원수인 q* 가 무엇인지 이해해야한다.

켤레 사원수는 위와같다. 그리고 그 켤레사원수를 곱하게되면,

이렇게 교환법칙이 성립하며 결과가 q의 길이의 제곱(||q||^2)이 나오게되는것도 확인할수있다. 그리고 그렇기때문에 q와 q* 곱에서 1/||q||^2 만큼을 스칼라곱 해주면 결국 I가 나오게 되는것도 어렵지 않게 예상할수 있을것이다.
■ 사원수의 회전
위에서 회전을 나타내는 복소수의 곱이

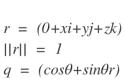
이러한 형태를 기억할것이다. 사원수는 여기서 i를 사원수이자 허수인 r로 바꾸면된다.

이런식으로 말이다. 그리고 이 사원수를

스칼라 값 0을 가진 점 p에 대해 위와 같은 형태로 곱을하게되면 r을 축으로 반시계방향으로 2θ 만큼 회전된 결과가 나온다는 것인데.. 위에도 언급했듯 나도 원리를 모르겠다. (qpq-1을 하나하나 전개해보면 오일러-로드리게스 공식이 나오긴한다 )
단지 사원수를 사용하려면 r을 길이가 1인 회전축으로 설정하고( 허수여야 되니까 ) 회전하려는 점 p를 스칼라 값이 0인 사원수로 설정한다음 2θ 만큼 회전하기 때문에 회전 정보를 담고있는 q의 θ 를 θ/2 로 설정한후 사원수 규칙에 맞춰 연산하면 된다는것만 알고있고 이것만 알아도 사용하는데는 문제가없다.

r은 허수가 된다.
■ 사원수의 곱셈에 대한 항등원과 역원

사원수의 항등원 I는 위와 같다. I가 왜 항등원인지는 위의 곱셈의 형태를 보면 쉽게 유추할수있을 것이다.
사원수의 역원을 이해하기 위해서는 켤레 사원수인 q* 가 무엇인지 이해해야한다.

켤레 사원수는 위와같다. 그리고 그 켤레사원수를 곱하게되면,

이렇게 교환법칙이 성립하며 결과가 q의 길이의 제곱(||q||^2)이 나오게되는것도 확인할수있다. 그리고 그렇기때문에 q와 q* 곱에서 1/||q||^2 만큼을 스칼라곱 해주면 결국 I가 나오게 되는것도 어렵지 않게 예상할수 있을것이다.
■ 사원수의 회전
위에서 회전을 나타내는 복소수의 곱이

이러한 형태를 기억할것이다. 사원수는 여기서 i를 사원수이자 허수인 r로 바꾸면된다.

이런식으로 말이다. 그리고 이 사원수를

스칼라 값 0을 가진 점 p에 대해 위와 같은 형태로 곱을하게되면 r을 축으로 반시계방향으로 2θ 만큼 회전된 결과가 나온다는 것인데.. 위에도 언급했듯 나도 원리를 모르겠다. (qpq-1을 하나하나 전개해보면 오일러-로드리게스 공식이 나오긴한다 )
단지 사원수를 사용하려면 r을 길이가 1인 회전축으로 설정하고( 허수여야 되니까 ) 회전하려는 점 p를 스칼라 값이 0인 사원수로 설정한다음 2θ 만큼 회전하기 때문에 회전 정보를 담고있는 q의 θ 를 θ/2 로 설정한후 사원수 규칙에 맞춰 연산하면 된다는것만 알고있고 이것만 알아도 사용하는데는 문제가없다.






댓글 없음:
댓글 쓰기